| : | Apr 22, 2004 |
_files/CAMDWJQT.jpg)
| 1 | - | Fuel line connection with fuel tank |
| 2 | - | Auxiliary fuel pump |
| 3 | - | Fuel fired booster heater |
_files/CAKLKLY9.jpg)
| 1 | - | Electrical connectors |
| 2 | - | Air inlet silencer |
| 3 | - | Exhaust pipe |
| 4 | - | Coolant outlet connection |
| 5 | - | Coolant inlet connection |
| 6 | - | Silencer |
| 7 | - | Fuel supply line |
_files/CAKO5P1N.jpg)
| Pin No. | Description | Input/Output |
|---|---|---|
| 1 | Not used | - |
| 2 and 3 | Not used | - |
| 4 | Medium speed CAN bus low | Input/Output |
| 5 | Auxiliary fuel pump power feed | Output |
| 6 | Not used | - |
| 7 | Medium speed CAN bus high | Input/Output |
| 8 | Not used | - |
_files/CAHP3U93.jpg)
| Pin No. | Description | Input/Output |
| 1 | Permanent battery power supply | Input |
| 2 | Ground | Output |
_files/CAYJC9UV.jpg)
| 1 | - | Fuel line connector |
| 2 | - | Non return valve |
| 3 | - | Solenoid coil |
| 4 | - | Plunger |
| 5 | - | Filter insert |
| 6 | - | Fuel line connector |
| 7 | - | O-ring seal |
| 8 | - | Spring |
| 9 | - | Piston |
| 10 | - | Bush |
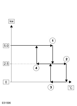
_files/LoadAsset.jpg)
| Switching Point | Temperature, °C (°F) | ||
|---|---|---|---|
| Figure Item No. | Description | Parked and Auxiliary Heating | Supplementary Heating |
| 1 | Full load to part load | 76 (169) | 72 (162) |
| 2 | Part load to control idle | 82 (180) | 78 (172) |
| 3 | Control idle to part load | 74 (165) | 70 (158) |
| 4 | Part load to full load | 69 (156) | 65 (149) |
| A = Hardwired connections; D = High speed CAN bus; F = RF transmission; N = Medium speed CAN bus; P = MOST bus |
_files/CAM7MF69.jpg)
| 1 | - | Fuse 28E, Battery Junction Box (BJB) |
| 2 | - | FFBH |
| 3 | - | Auxiliary fuel pump |
| 4 | - | Instrument cluster |
| 5 | - | ECM |
| 6 | - | ECT sensor |
| 7 | - | ATCM |
| 8 | - | Ambient temperature sensor |